Bénin: liste des bénéficiaires des cabines en résidences universitaires à l’UAC
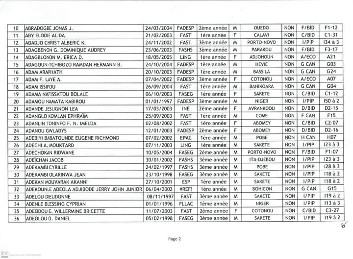
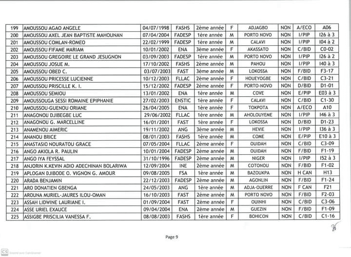
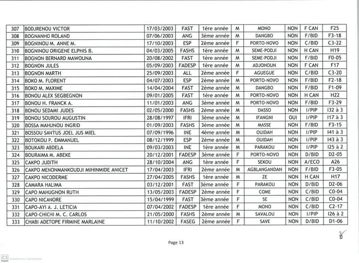
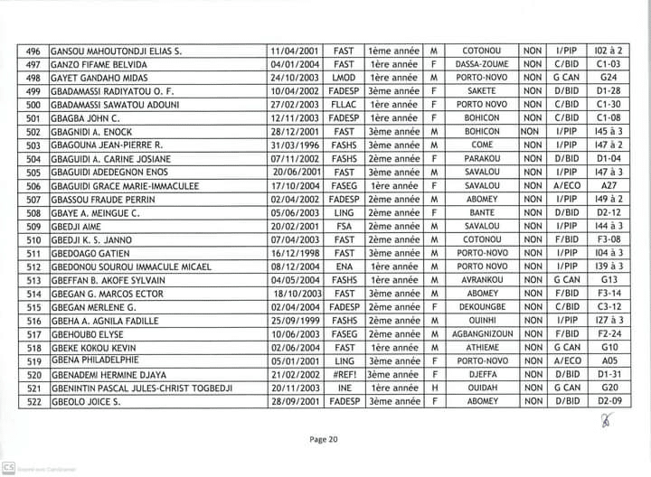
Le Centre des Œuvres Universitaires et Sociales d’Abomey-Calavi (UAC) a publié mardi 08 novembre 2022, la liste des étudiants bénéficiaires des cabines dans les résidences universitaires. Les 1042 bénéficiaires sont invités à faire les formalités, notamment le versement des frais d’hébergement s’élevant à 27 500 francs CFA, à raison de 2 500 francs CFA le mois. Retrouvez ci-dessous la liste complète des bénéficiaires.

1 min de lecture
Vous utilisez actuellement la version classiqueVous êtes actuellement sur la version classique du site. Rejoignez notre version 2.0 pour plus de fun, plus de rapidité et plus d'interaction.Rejoindre Maintenant









































Commentaires